众鲤数据网

最新更新

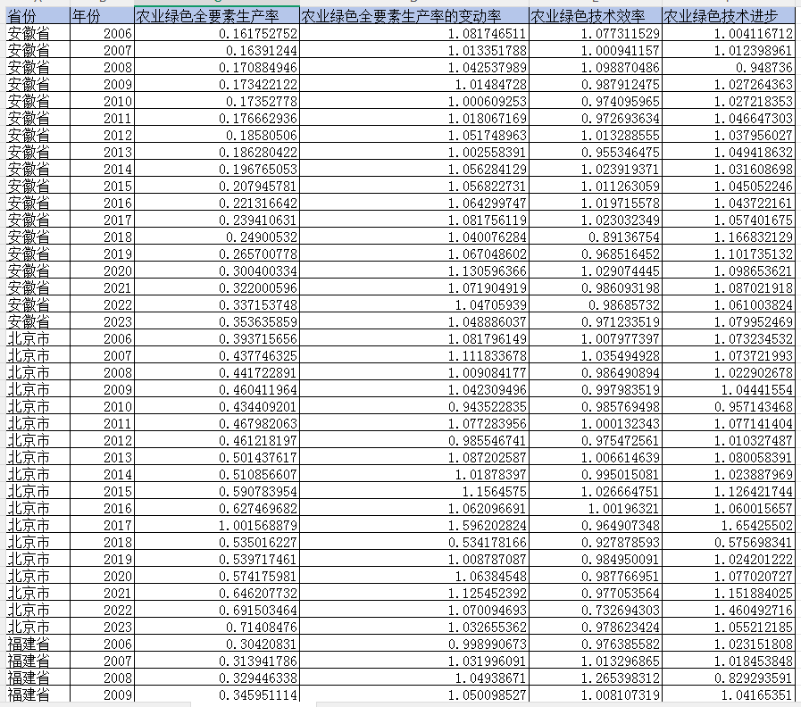
01、数据简介 农业绿色全要素生产率(Green Total Factor Productivity in Agr...

2026-02-11 5.41kVIP
zh899_mary 2026-02-11
VIP

01、数据简介 “独角兽”一词最早由美国风险投资家艾琳·李(Aileen Lee)在2013...

2026-02-10 4.09kVIP
zh899_mary 2026-02-10
VIP

01、数据简介 CPI:日期 居民消费价格指数 农村居民消费价格指数 城市居民消费...

2026-02-09 5.08kVIP
zh899_mary 2026-02-09
VIP

01、数据简介 企业劳动力资源错配是指在企业生产经营过程中,劳动力资源未能按...

2026-02-08 4.54kVIP
zh899_mary 2026-02-08
VIP

01、数据简介 金融监管强度是指金融监管机构为维护金融市场稳定、防范系统性风...

2026-02-08 4.02kVIP
zh899_mary 2026-02-08
VIP

01、数据简介 农业全要素生产率(Agricultural Total Factor Productivity, AT...

2026-02-07 5.1kVIP
zh899_mary 2026-02-07
VIP

01、数据简介 战略性新兴企业是以战略性新兴产业为核心发展领域,通过技术创新...

2026-02-07 3.94kVIP
zh899_mary 2026-02-07
VIP

01、数据简介 Z-score 模型是用于量化评估上市公司债务违约风险的经典工具。Z-...

2026-02-06 4.09kVIP
zh899_mary 2026-02-06
VIP

01、数据简介 农业新质生产力是指以生物育种、人工智能、数字技术等前沿科技为...

2026-02-06 5.47kVIP
zh899_mary 2026-02-06
VIP

01、数据简介 中国老龄发展报告是针对中国人口老龄化现状、趋势、挑战及应对策...

2026-02-05 5.2kVIP
zh899_mary 2026-02-05
VIP

01、数据简介 股价波动性VAR(Value-at-Risk,在险价值或风险价值)是一种衡量...

2026-02-04 5.75kVIP
zh899_mary 2026-02-04
VIP

01、数据简介 《中国人口与就业统计年鉴(1949-2024年)》是一部全面反映中国...

2026-02-04 4.09kVIP
zh899_mary 2026-02-04
VIP

01、数据介绍 CLCD_classificationsystem是专门为CLCD数据集设计的分类系统,...

2026-02-03 5.76kVIP
zh899_mary 2026-02-03
VIP

高管环保背景通常指的是高管个人简历中包含与环保相关的关键词,如“环境”、“环保”...

2026-02-03 5.5kVIP
zh899_mary 2026-02-03
VIP

01、数据简介 绿色专利是指以绿色技术为发明主题的专利,是有关节能环保、清洁...

2026-02-02 5.22kVIP
zh899_mary 2026-02-02
VIP

01、数据简介 清廉指数(Corruption Perceptions Index,简称CPI)是透明国际...

2026-02-02 5.38kVIP
zh899_mary 2026-02-02
VIP

01、数据简介 人口集聚度指单位面积土地上承载的人口数量,通常通过人口密度(...

2026-02-01 5.34kVIP
zh899_mary 2026-02-01
VIP

01、数据简介 环保补贴,又称绿色补贴,是政府在环保领域实施的一种特定补贴。...

2026-02-01 185VIP
zh899_mary 2026-02-01
VIP

推荐数据

01、数据简介 该数据集覆盖全球63个国家及地区、35个产业领域,时间跨度为2007...

2026-01-06 3.91kVIP
zh899_mary 2026-01-06
VIP

01、数据简介 中国高铁航线数据库收集和管理航空公司和高铁公司交通航线信息的...

2025-12-26 4.15kVIP
zh899_mary 2025-12-26
VIP

01、数据简介 北大数字普惠金融指数创新性地搭建了一套科学完备的指标体系,该...

2025-12-15 8.53kVIP
zh899_mary 2025-12-15
VIP

01、数据简介 数字基础设施建设是指以新一代信息技术(如5G、人工智能、大数据...

2025-12-13 5.76kVIP
zh899_mary 2025-12-13
VIP

01、数据简介 中国老年社会追踪调查(China Longitudinal Aging Social Survey...

2025-12-04 4.77kVIP
zh899_mary 2025-12-04
VIP

01、数据简介 商标信息数据来源国家知识产权局商标局的官方网站,提供国内商标...

2025-11-25 1.23kVIP
zh899_mary 2025-11-25
VIP

01、数据简介 地级市面板数据,指标涵盖GDP、人口、产业增加值、电信业务总量...

2025-11-24 7.18kVIP
zh899_mary 2025-11-24
VIP

01、数据简介 本数据库涵盖四大核心内容:1.灾害事件基本信息:包括事件ID、分...

2025-11-18 4.73kVIP
zh899_mary 2025-11-18
VIP

01、数据简介 瞪羚企业是指跨越创业初期死亡谷,进入快速成长期的创新创业企业...

2025-11-15 7.01kVIP
zh899_mary 2025-11-15
VIP

01、数据简介 全国企业破产重整案件是指针对可能或已经具备破产原因,但仍有维...

2025-11-09 6.98kVIP
zh899_mary 2025-11-09
VIP

01、数据简介 上海二手房成交数据(2018-2025年)作为房地产市场的重要观测指...

2025-11-08 6.46kVIP
zh899_mary 2025-11-08
VIP

01、数据简介 农产品出口额指中国将农业生产的产品(如粮食、蔬菜、水果、畜禽...

2025-11-07 5.88kVIP
zh899_mary 2025-11-07
VIP

01、数据简介 全球经济自由度指数(Index of Economic Freedom)是衡量国家或...

2025-11-05 4.67kVIP
zh899_mary 2025-11-05
VIP

01、数据简介 广州二手房成交数据能直观呈现市场活跃度。通过分析成交数据的长...

2025-10-27 7.52kVIP
zh899_mary 2025-10-27
VIP

01、数据简介 上海二手房成交数据(2011-2024年)作为房地产市场的重要观测指...

2025-10-26 6.84kVIP
zh899_mary 2025-10-26
VIP

01、数据简介 北京作为中国的首都和重要的经济、文化中心,其房地产市场具有风...

2025-10-25 7.83kVIP
zh899_mary 2025-10-25
VIP

01、数据简介 该数据集完整收录了自2008年1月至2023年12月期间,经证监会审结...

2025-10-23 6.73kVIP
zh899_mary 2025-10-23
VIP

01、数据简介 《中国全球投资追踪》是一份关于中国在全球范围内投资活动的综合...

2025-10-22 7.12kVIP
zh899_mary 2025-10-22
VIP

01、数据简介 企业全要素生产率(Total Factor Productivity,TFP)是经济学中...

2025-10-19 7.72kVIP
zh899_mary 2025-10-19
VIP

01、数据简介 国家杰出青年科学基金于1994年经国务院正式批准设立,是我国在基...

2025-10-18 6.77kVIP
zh899_mary 2025-10-18
VIP

01、数据简介 国家自然科学基金(简称“国自然基金”)作为我国支持基础研究的主...

2025-10-15 7.38kVIP
zh899_mary 2025-10-15
VIP

01、数据简介 CGSS(中国综合社会调查数据库) 是我国首个全国性、综合性、连...

2025-10-09 9.04kVIP
zh899_mary 2025-10-09
VIP

01、数据简介 《中国税务年鉴》自1993年创刊以来,便肩负着记录我国税收事业发...

2025-10-04 7.24kVIP
zh899_mary 2025-10-04
VIP

01、数据简介 企业高管的学术经历,是高管在正式进入企业高级管理岗位(如CEO...

2025-09-30 5.27kVIP
zh899_mary 2025-09-30
VIP

01、数据介绍 数据由最新的裁判文书数据库收集整理,由生效裁判文书公开查询,...

2025-09-18 7.15kVIP
zh899_mary 2025-09-18
VIP

01、数据介绍 供应商和客户数据分别在16万和24万条数据,数据来源供应商公告、...

2025-09-09 8.02kVIP
zh899_mary 2025-09-09
VIP

01、数据介绍 本研究借鉴参考郑世林(2021),整理了各省、地级市的人工智能的百...

2025-08-04 5.62kVIP
zh899_mary 2025-08-04
VIP

01、数据简介 中国人民大学设立的长期跟踪调查的基础性科研数据库建设项目,是...

2025-08-01 7.11kVIP
zh899_mary 2025-08-01
VIP

01、数据介绍 碳排放范围一、二、三是根据《温室气体核算体系》划分的企业温室...

2025-07-25 6.8kVIP
zh899_mary 2025-07-25
VIP

01、数据介绍 本文参考(白俊红和蒋伏心)的做法,采用引力模型对城市间创新要素...

2025-07-23 8.56kVIP
zh899_mary 2025-07-23
VIP

01、数据介绍 为检验城市低碳治理对绿色经济增长的作用,本文借鉴Wolff的做法...

2025-07-19 7.17kVIP
zh899_mary 2025-07-19
VIP

01、数据介绍 土地资源配置效率指当土地投入一定时,获得最大化产出的能力,或...

2025-07-17 5.58kVIP
zh899_mary 2025-07-17
VIP

01、数据介绍 数据包括中国健康与养老追踪调查(CHARLS)(14-20年)、美国健康...

2025-07-15 6.32kVIP
zh899_mary 2025-07-15
VIP

01、数据介绍 数据统计上市公司企业行政处罚数据,参考黄健峤的文献对是否受到...

2025-07-09 1.45kVIP
zh899_mary 2025-07-09
VIP

01、数据简介 《最高人民法院裁判文书上网公布暂行办法》实施后,裁判文书网首...

2025-07-07 8.69kVIP
zh899_mary 2025-07-07
VIP

01、数据介绍 数据包括人民法院案例库、多元解纷,合并包,字段清晰已做好标准...

2025-07-04 5.05kVIP
zh899_mary 2025-07-04
VIP

01、数据介绍 数据包括2017年最新数据样本670万,以及07-2016税调数据与上市公...

2025-07-01 6.09kVIP
zh899_mary 2025-07-01
VIP

01、数据介绍 数据来源于商务部中华老字号信息管理库,企业申报需满足创立于19...

2025-06-18 5.66kVIP
zh899_mary 2025-06-18
VIP

01、数据介绍 绿色专利是指以环境保护、资源节约和生态改善为目标的技术创新成...

2025-06-17 5.8kVIP
zh899_mary 2025-06-17
VIP

01、数据介绍 CFPS数据库区县顺序码匹配,年份是2010-2020年,22年也适用,区...

2025-05-29 6.67kVIP
zh899_mary 2025-05-29
VIP

01、数据介绍 系统记录年度审计工作进展、政策法规及典型案例的权威资料汇编,...

2025-05-23 6.22kVIP
zh899_mary 2025-05-23
VIP

01、数据简介 基于深度学习技术对股票论坛、贴吧等网络媒体中的上市公司相关文...

2025-05-22 6.65kVIP
zh899_mary 2025-05-22
VIP

01、数据简介 土地出让是指国家(由政府代表)将国有土地使用权在法定年限内出...

2025-05-19 7.42kVIP
zh899_mary 2025-05-19
VIP

01、数据简介 专利所有权转让是指专利获得国家知识产权局授权,获得专利的所有...

2025-05-19 6.31kVIP
zldatas_admin 2025-05-19
VIP

01、数据简介 来源于EM-DAT国际灾害数据库,该数据库是国际上最为重要的免费灾...

2025-05-14 7.45kVIP
zh899_mary 2025-05-14
VIP

01、数据简介 本数据集基于百度地图交通出行大数据平台,整合了2021年12月至20...

2025-05-13 7.17kVIP
zh899_mary 2025-05-13
VIP

01、数据简介 中美高技术产品进出口额不仅是经济数据,更是两国科技实力、产业...

2025-05-10 5.65kVIP
zh899_mary 2025-05-10
VIP

01、数据简介 CEPII-BACI(Base pour l'Analyse du Commerce International)...

2025-05-08 6.88kVIP
zh899_mary 2025-05-08
VIP

01、数据简介 居民健康水平是衡量一个地区或国家人口群体在生理、心理及社会适...

2025-05-07 5.81kVIP
zh899_mary 2025-05-07
VIP

01、数据简介 农业保险是专为农业生产者在从事种植业、林业、畜牧业和渔业生产...

2025-05-06 6.46kVIP
zh899_mary 2025-05-06
VIP

01、数据介绍 基于国家统计局专利数据库数据统计分别得到省级、市级、区县级的...

2025-04-29 8.29kVIP
zldatas_admin 2025-04-29
VIP

01、数据介绍 《中国城市统计年鉴》是由国家统计局城市社会经济调查司主持编纂...

2025-04-27 1.22wVIP
zh899_mary 2025-04-27
VIP

01、数据介绍 县域统计年鉴由国家统计局农村社会经济调查司编纂的权威年度资料...

2025-04-24 1.2wVIP
zh899_mary 2025-04-24
VIP

01、数据简介 GSDB(Global Sanctions Database) 是一个专注于整合全球金融制...

2025-04-21 7.75kVIP
zh899_mary 2025-04-21
VIP

01、数据简介 企业数字化转型(Digital Transformation)是指企业通过应用数字...

2025-04-18 7.93kVIP
zh899_mary 2025-04-18
VIP

01、数据简介 采用《美国经济评论》De Loecker和Warzynski方法DLW方法是一种用...

2025-04-18 8.63kVIP
zldatas_admin 2025-04-18
VIP
没有账号? 注册  忘记密码?

建议使用微信快速登录