01、数据简介
上市公司债务融资成本是指上市公司通过债务形式(如银行信贷、发行债券、融资租赁等)融入资金时,需要支付给债权人的费用或代价。这一成本是企业为获取债务资本而必须承担的支出,对企业的财务状况和经营成果具有重要影响。
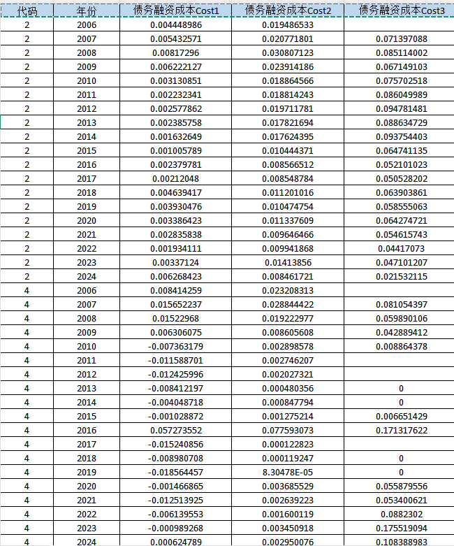
Cost1:企业财务费用占期末总负债的比重。
Cost2:企业利息支出加上手续费支出和其他财务费用的总额占期末总负债的比重。
Cost3:采用企业利息支出占当年长短期负债平均值的比重来计算债务融资成本。其中,短期负债为资产负债表中的短期借款,长期负债包括一年内到期的长期借款、长期借款、应付债券、长期应付款及其他长期负债。
本数据包含:原始数据、参考文献、代码、最终结果。
数据名称:上市公司-债务融资成本数据
数据年份:2006-2024年
数据整理:众鲤数据网
02、相关数据
代码 年份 债务融资成本Cost1 债务融资成本Cost2 债务融资成本Cost3
03、数据截图

请先 !